मेनू
सत्ताकारण
सिविक
सिविक
क्राइम
इन्फ्रा
परिवहन
पर्यावरण
आरोग्य
शिक्षण
समाज
समाज
व्यवसाय
शेयर बाजार
रिअल इस्टेट
कमॉडिटी मार्केट
संस्कृती
कला
उत्सव
लाइफस्टाइल
लाइफस्टाइल
फूड अँड ड्रिंक्स
तंत्रज्ञान
Fashion
मनोरंजन
मनोरंजन
बॉलिवूड
मराठी चित्रपट
नाटक
टेलिव्हिजन
संगीत आणि नृत्य
कार्यक्रम
डिजिटल
क्रीडा
क्रीडा
क्रिकेट
फुटबॉल
कबड्डी
कार्यक्रम
डील्स अँड ऑफर्स
Sunday, February 8, 2026
MUMBAI LIVE IN:
English
हिंदी
ताज्या बातम्या
सत्ताकारण
सिविक
समाज
लाइफस्टाइल
मनोरंजन
क्रीडा
मेनू
Mumbai Rain Live Update
सिटी अपडेट्स
ताज्या बातम्या
सत्ताकारण
सिविक
समाज
लाइफस्टाइल
मनोरंजन
क्रीडा
मेनू
Advertisement
Edit Story
|
Edit Page Meta
होम
सिविक
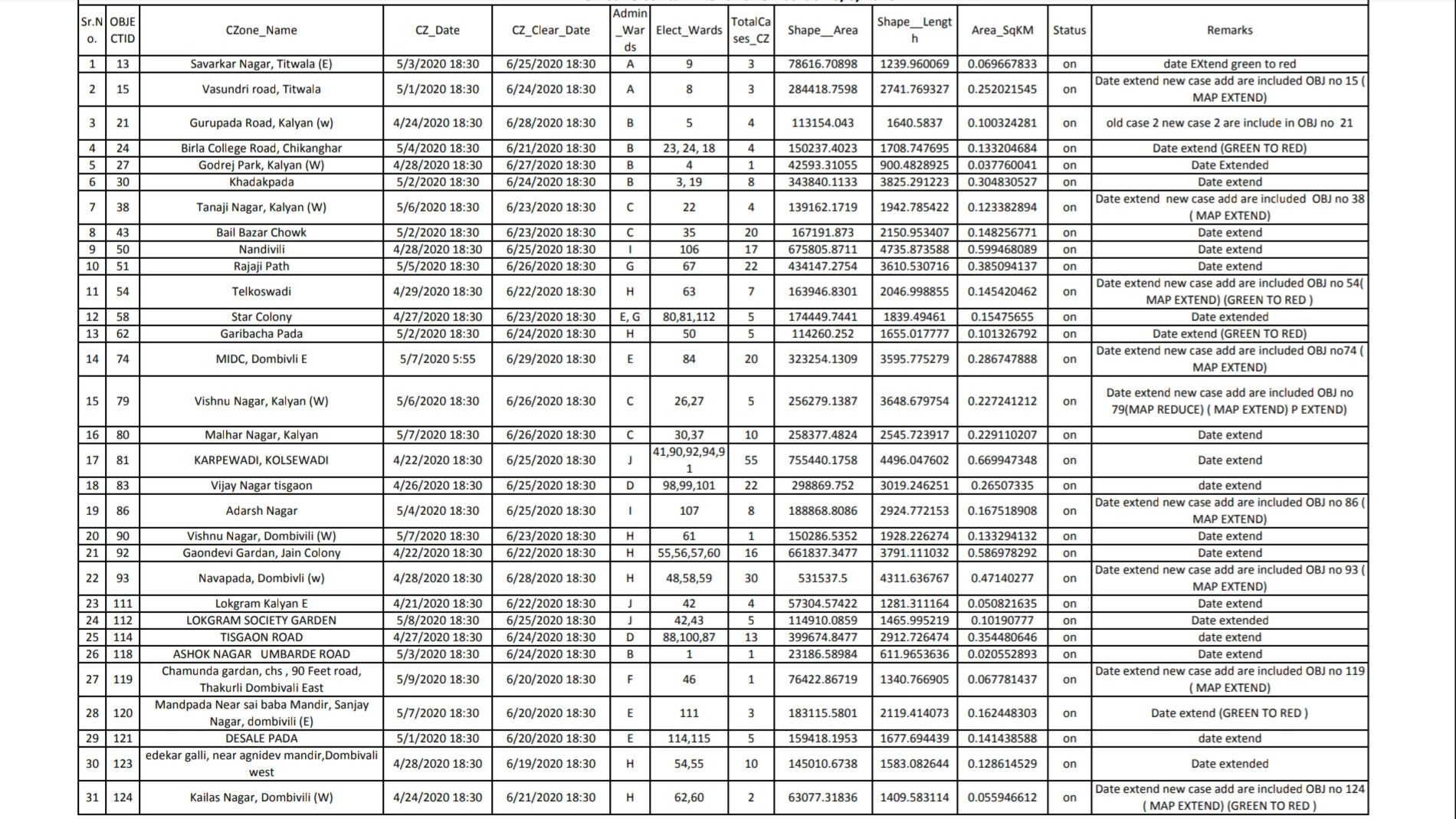
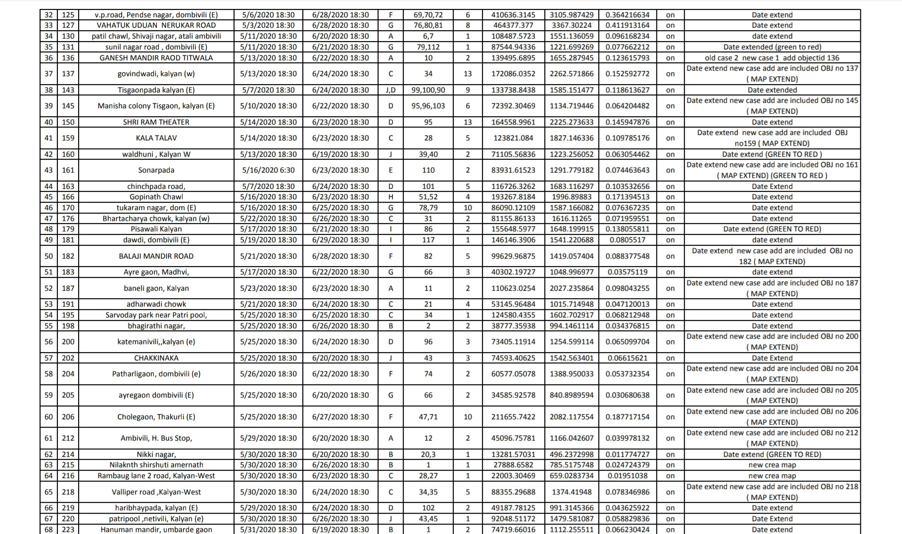
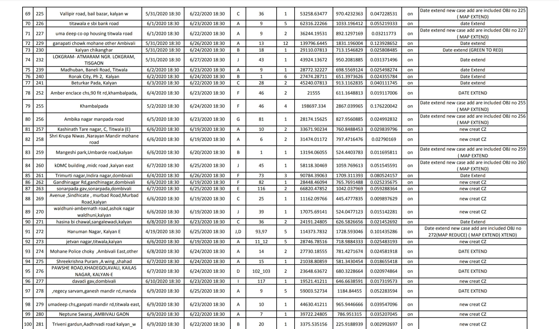
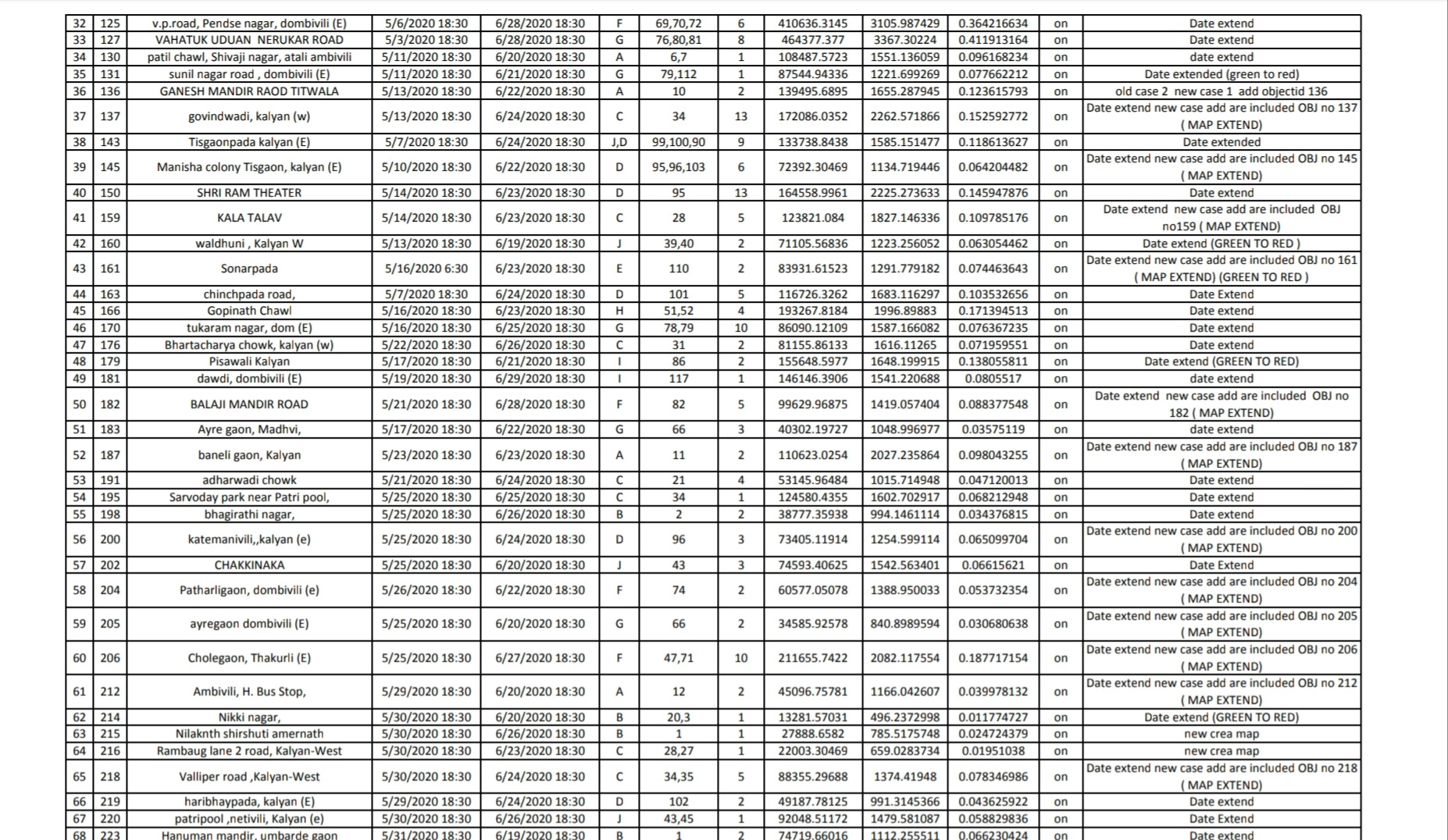
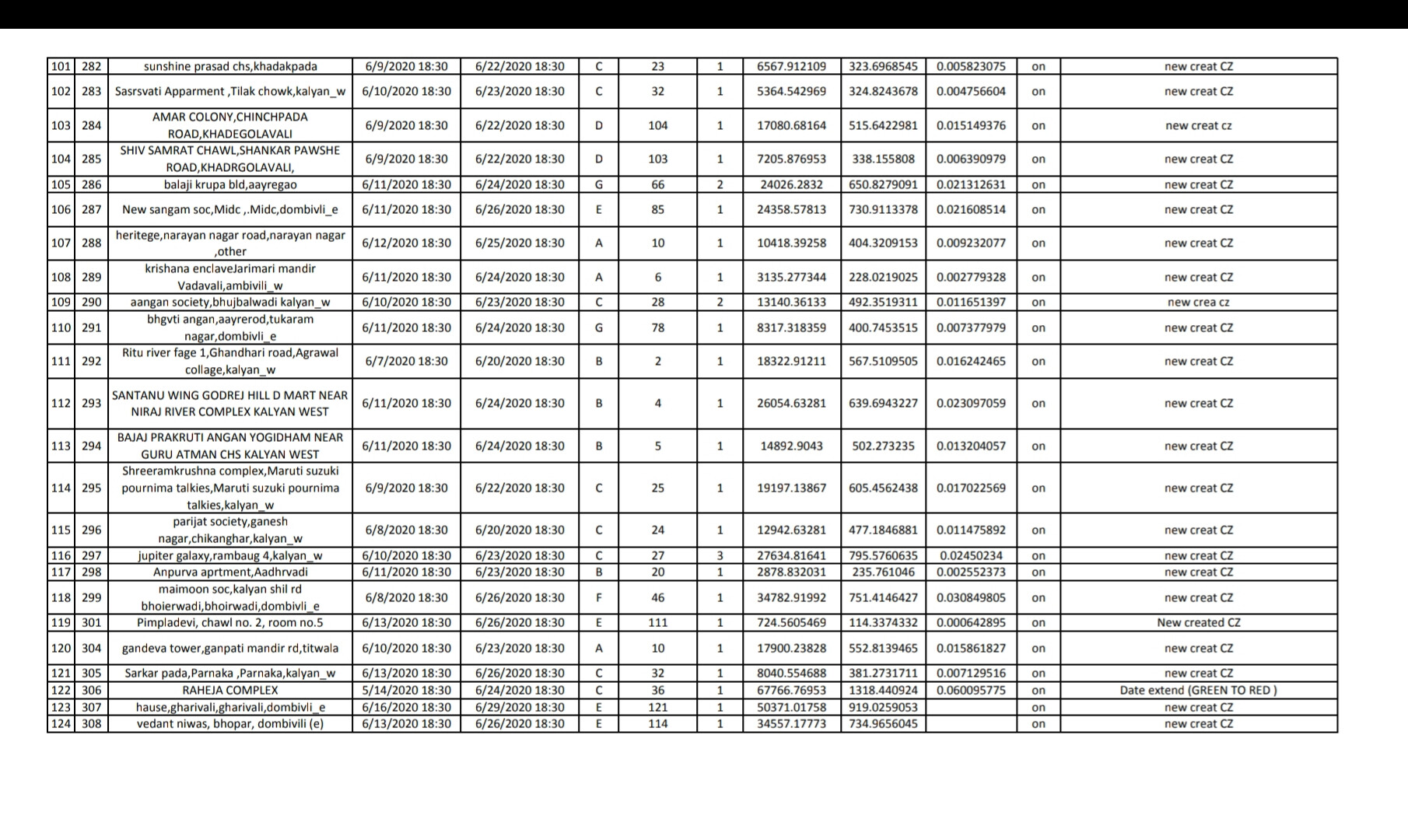
कल्याण-डोंबिवलीत 'हे' आहेत कंटेन्मेंट झोन
कल्याण-डोंबिवलीत 'हे' आहेत कंटेन्मेंट झोन
कल्याण-डोंबिवली महापालिका क्षेत्रातील 'ही' आहे कंटेन्मेंट झोनची यादी
By
मुंबई लाइव्ह टीम
सिविक
Kalyan
SHARES
कंटेन्मेंट झोन
Read this story in
हिंदी
संबंधित विषय
Mumbai
Maharashtra
Kalyan
Dombivali
Containmentszone
containment zone list kalyan-dombivali
list of containment zones in Mumbai
Loading next story...
ताज्या बातम्या
मुंबई सेंट्रलमधील नव्या बेलॅसिस पुलाच्या नामकरणावर वाद
SSC आणि HSC परीक्षेदरम्यान विद्यार्थ्यांच्या मदतीसाठी ‘रायडर्स’ तैनात
कोविड-19 मृत्यूंच्या नुकसानभरपाईस विलंब झाल्याबद्दल उच्च न्यायालयाने राज्य सरकारला प्रश्न
गोरेगाव ते सीएसएमटी दरम्यानच्या लोकल सेवा तीन महिन्यांसाठी बंद
मुंबईसह महाराष्ट्रात उकाडा वाढतोय
यूपीएससी परीक्षेचे 12 नियम बदलले
सिविक
सीएसएमटीचे 'हे' प्लॅटफॉर्म 85 दिवसांसाठी बंद राहणार
मूकबधिर मुलीवर बलात्कार, वडिलांना अटक
×
Share Now
Share
Tweet
Subscribe
'मुंबई लाइव्ह' मराठीतील रोजच्या ताज्या बातम्या, अपडेट्स थेट 'इनबॉक्स'मध्ये मिळवण्यासाठी 'सबस्क्राईब' करा.
Cancel
NEW UPDATE (S)
‘मुंबई लाइव्ह’च्या ताज्या बातम्यांसाठी सब्स्क्राईब करा
ALLOW
NO THANKS