
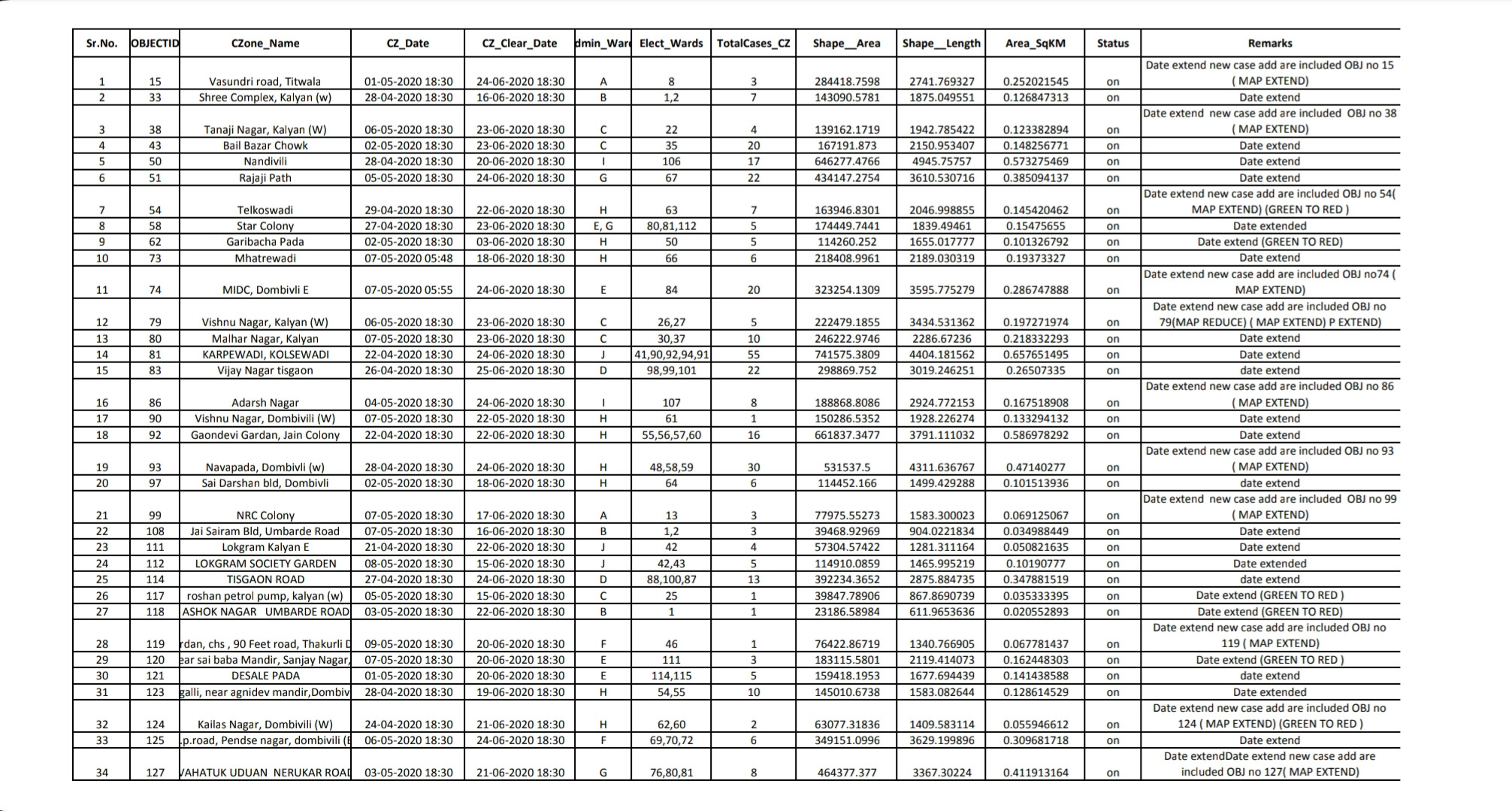
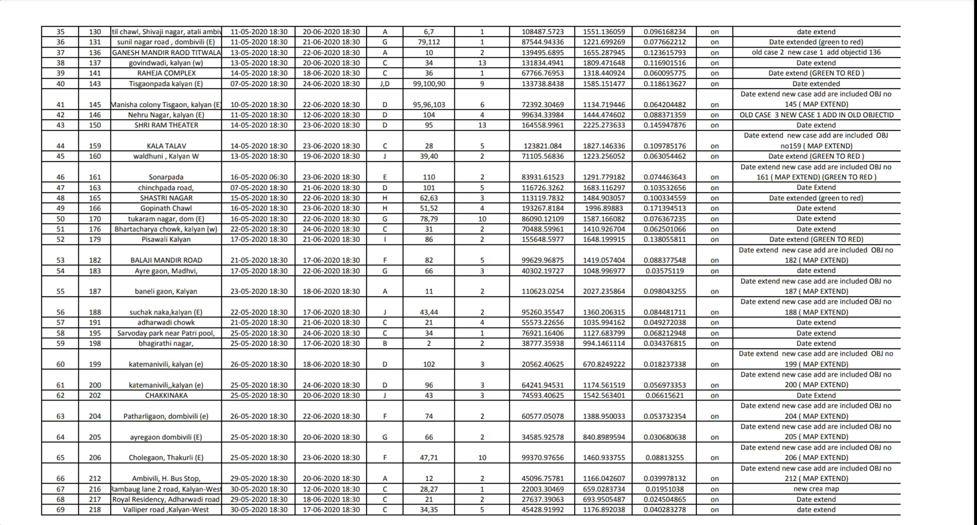
मुंबई सहित पूरे महाराष्ट्र में कोरोना वायरस से संक्रमित मरीजों की संख्या दिन ब दिन बढ़ती जा रही है एक साथ ही मुंबई के आसपास थाने कल्याण और नवी मुंबई उसे इलाकों में भी कोरोनावायरस के मरीजों की संख्या बढ़ती जा रही है।मंगलवार शाम तक कल्याण डोंबीवली इलाके में कोरोना संक्रमित की संख्या 2913 थी। कल्याण डोंबिवली के कंटेन्मेंट जोन की लिस्ट




