
कल्याण-डोंबिवली महापालिका परिसरातील वाढणारी कोरोनाबाधित रुग्णांची संख्या प्रशासनाच्या चिंतेचा विषय ठरत आहे. १७ जून २०२० पर्यंत हाती आलेल्या आकडेवारीनुसार बुधवारी १३५ नवे कोरोनाबाधित रुग्ण आढळून आल्याने शहर परिसरात आतापर्यंत उपचार घेत असलेल्या कोरोनाबाधित रुग्णांची संख्या १३२८ इतकी झाली आहे. तर ११७६ कोरोनाबाधित रुग्ण बरे झाल्याने त्यांना डिस्चार्ज देण्यात आला आहे. त्याशिवाय कोरोनामुळे ६६ जणांचा मृत्यू देखील झाला आहे.
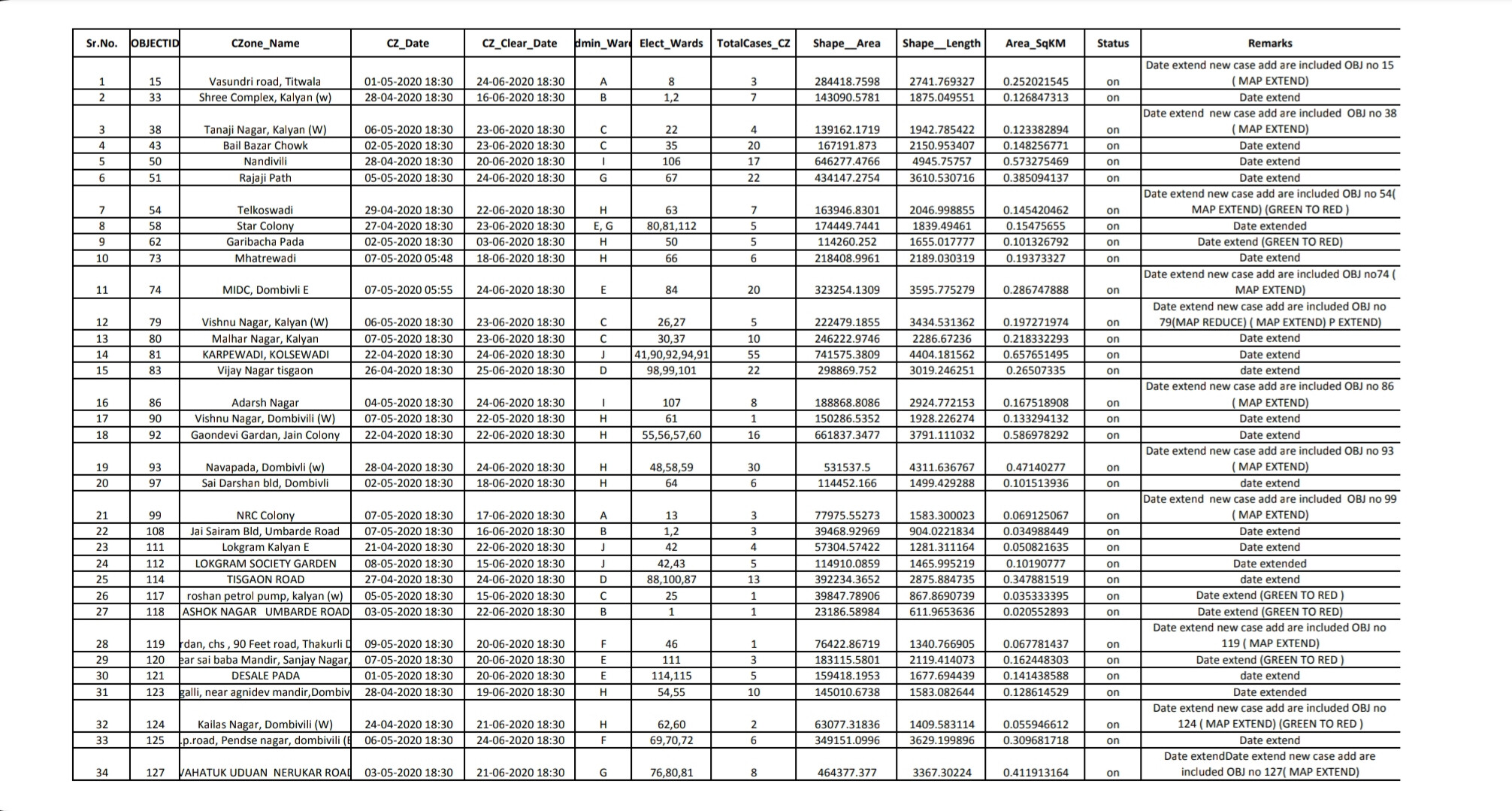
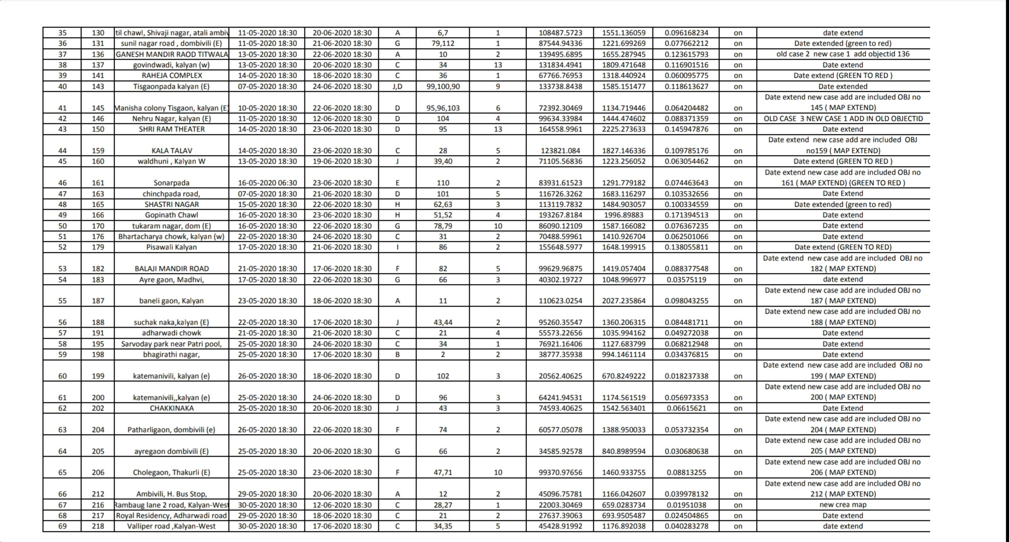
कोरोनाबाधितांच्या वाढत्या संख्येनुसार शहरातील कंटेन्मेंट झोनची संख्याही वाढत आहे. १७ जूनपर्यंत महापालिकेने नोंद केलेले कंटेन्मेट झोन पुढील प्रमाणे आहेत.




