
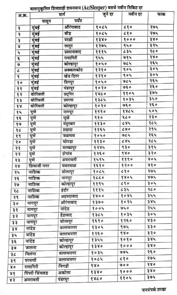
महाराष्ट्र राज्य मार्ग परिवहन महामंडळा(एसटी)च्या वातानुकूलित शिवशाही शयनयान (AC Sleeper) बसमधून प्रवास करणाऱ्या प्रवाशांसाठी खुशखबर आहे. वातानुकूलित शिवशाही शयनयान बसचा तिकीट दर कमी करण्यात आला आहे. राज्य परिवहन प्राधिकरणाच्या मंजूरीनंतर एसटी महामंडळाने दर कपात केली आहे.
कमी करण्यात आलेले नवीन दर १३ फेब्रुवारीपासून लागू करण्यात येणार आहेत. राज्यातील दुष्काळसदृश्य परिस्थिती, खाजगी वाहतूकीची स्पर्धा आणि लांब पल्ल्याचा प्रवास ज्येष्ठ नागरिकांना सुखकर व माफक दरात व्हावा यासाठी बसच्या तिकीट दरात कपात करण्यात येत असल्याची घोषणा परिवहन मंत्री व एसटी महामंडळाचे अध्यक्ष दिवाकर रावते यांनी केली आहे. यामुळे आता वातानुकूलित शिवशाही शयनयानचं तिकीट कमीत कमी २३० ते ५०५ रूपयांनी कमी होणार आहे.

एस.टी महामंडळाने शिवशाही शयनयान बसचं तिकीट कमी करण्याचा प्रस्ताव राज्य परिवहन प्राधिकरणाकडे पाठवला होता. या प्रस्तावाला राज्य परिवहन प्राधिकरणाची मंजूरी मिळाली आहे. तिकीट दर कपात करताना एसटी महामंडळाने खाजगी प्रवासी वाहतूकीशी स्पर्धा करीत जास्तीत जास्त प्रवासी वाढवण्याचं उद्दिष्ट ठेवलं आहे. त्याचप्रमाणं, प्रवाशांच्या मागणीनुसार भविष्यात आणखी नवीन मार्गांवर शयनयान बस सेवा सुरू करण्याची महामंडळाने तयारी दर्शवली आहे. सध्या राज्यातील विविध ४२ मार्गांवर वातानुकूलित शिवशाही बसेस धावत आहेत.
वातानुकूलित शिवशाही शयनयान बसमध्ये ज्येष्ठ नागरिकांच्या तिकीटामध्ये यापूर्वीच ३० टक्के सवलत देण्यात आली आहे. आता झालेल्या दर कपातीमुळे सर्वसामान्यांसोबतच ज्येष्ठ नागरिकांनाही याचा अधिक लाभ होणार आहे. त्यामुळेच प्रवाशांनी सुरक्षित, आरामदायी व किफायतशीर प्रवासासाठी एस.टीच्या वातानुकूलित शिवशाही शयनयान बसचा वापर करण्याचं आवाहन महामंडळातर्फे करण्यात आलं आहे.
हेही वाचा -
एसटीमध्ये ८,०२२ चालक-वाहक पदांची भरती
मुंबईत तापमानाची रस्सीखेच, पारा १२ अंशावर
